狮城家长论坛

 找回密码
 立即注册
查看: 1395|回复: 0

[学习经验] Building a Strong Secondary School Foundation: P6-S1 Holiday Class Highlights

[复制链接]

126

主题

126

帖子

4248

积分

论坛元老

Rank: 8Rank: 8

积分
4248
发表于 2025-10-18 21:21:47 | 显示全部楼层 |阅读模式
本帖最后由 Nora老师 于 2025-10-18 21:29 编辑

Building a Strong Secondary School Foundation: Kangaroo Study Holiday Class Highlights

A week has flown by, and the first phase of Kangaroo Study’s P6–S1 Holiday Class has come to an end. Let’s take a look back at the highlights of the week through some photos!


Class.png

During the lessons, both students and parents gave strong recognition to Teacher Jeremiah, with many parents sending in their positive feedback right after class.

Parent Feedback P6S1.png

Why has Kangaroo Study’s Holiday Class earned so much recognition? Let’s start with the course content and see what the students learned during these six lessons!

1. Course Content
(1)  Covers 90% of the Term 1 Content

Syllabus P6S1.png
(EOY Syllabus vs IP School S1 Term1 Syllabus)
In just six lessons, students in Kangaroo Study have covered nearly the entire Term 1 curriculum of top Singapore schools, including algebra topics usually taught in the Term 2.

   
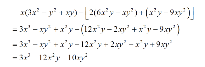
(2) Comprehensive Mastery: From Top School Past Papers to SMO Challenges

Students don’t just skim each topic. In every lesson, they practice with top school past papers, O-Level questions, and even SMO problems, building a deep understanding of every concept.

HolidayClassWorksheet P6S1.png
(Questions from Holiday Class Worksheets)

   
In addition, students not only learned basic secondary school calculations but also explored useful calculation skills to improve their calculation ability.


CalculationSkills P6S1.png
(Calculation Skills)

2. Course Gains

   
So, what changes have the students experienced after these six lessons?
  
(1) From Relying on Calculators to Independent Calculations
After a few days of practice, students have improved the most in their calculation skills, moving from relying on calculators to solving complex negative numbers independently.
cbb3cc7f1071cb2fba3997a1a535d5d6.png
   
Not only have their calculation skills improved, but their habits have too. Students now write neatly, follow proper steps, and have developed good calculation habits through the holiday class.

  
(2) 95% Mastery of School Past Papers
Besides calculations, students have also mastered other first-term Secondary 1 topics very well, achieving excellent results in the quizzes for each class.
4c4c482e5631762efba817276d3d89ca.png

(3) From Passive Learning to Active Thinking and Independent Revision

Besides mastering the content, students have also developed many good learning habits.
During lessons, they don’t just copy notes—they first understand the material, then take notes to reinforce learning.

ActiveThinking P6S1.png

Students no longer just listen in class. After class, they redo worksheets, check their work, and explain difficult problems to their parents to fully understand them.
38941c9a4a3c82b106e409a5b6f7297d.png

Students have also developed a review habit. They organize mistakes from class and exercises into a correction book, redo them the next day, and write detailed reflections—a highly effective way to review.

fec76144f6e0f6e30c78ec41b93ee415.png


3. Course Significance


After six days of effort and these improvements, how will this help the students as they enter secondary school?

(1) Preview in Advance, Explore in Depth, Resolve School Problems Early
After these six holiday lessons, students previewed and explored each topic in depth, identifying and resolving potential problems early. This allows them to handle similar challenges more confidently when they start secondary school.

HolidayClassWorksheet (2) P6S1.png
(Questions from Holiday Class Worksheet)

CatholicHigh P6S1.png
(Question from Catholic High 2025 WA1)

(2) Strengthen Rational Number Foundations for a Smooth Transition to Algebra
Students are about to start learning algebra when they are in Sec-1, and rational number calculations are key to building a solid foundation for it.

RI P6S1.png
(Question from RI 2025 WA1)
  
When students first start simplifying expressions, they can transition smoothly into algebra thanks to the solid calculation foundation built in the holiday class.

4. Post-Class Arrangements
  
There is still a long holiday ahead. To ensure that students don’t forget what they’ve learned, all children enrolled in the holiday class will first receive the holiday assignments we have prepared.

Post-Class P6S1.png

Before the new term starts, students will have a Focus Reset Class to get back into study mode and review what they learned in the holiday class.

FocusResetClass P6S1.png

If you’re interested in our holiday class, you can first take our free Secondary School Adaptability Test. Based on the results, we’ll recommend the most suitable class for your child. Over 150 students have already signed up, and we’ve added a new session due to high demand!

Exam Date: October 25, 2025

Option 1: 3:00–4:00 PM
Option 2: 3:00–5:00 PM
Exam Venue: #02-12, Grantral Mall, 601 MacPherson Road, 368242
Suitable for: Students entering Secondary 1 in 2026
Exam Fee: Free!
Registration:
Click here or scan the QR code below to register:      
Register QR Code.png

If you have any questions about the test or our holiday class, you can contact:
Tr. Zhang, WhatsApp: +65 80844319

Tr Zhang QR Code.png


Tr. Jeremiah Ang, WhatsApp: +65 88629937
Tr Jeremiah QR Code.png




回复

使用道具 举报

您需要登录后才可以回帖 login | 立即注册

本版积分规则

Archiver|手机版|小黑屋|狮城家长论坛

GMT+8, 2026-3-17 16:16 , Processed in 0.011479 second(s), 20 queries .

Powered by Discuz! X3.4

Copyright © 2001-2020, Tencent Cloud.

快速回复 返回顶部 返回列表